Նեսթլե (Nestlé) ընկերությունը համաշխարհային մակարդակով հետ է կանչել որոշ մանկական կաթնախառնուրդներ՝ կապված ցերևիլիդ տոքսինով աղտոտման հավանական ռիսկ հայտնաբերելու հետ (կարող է առաջացնել սրտխառնոց, փսխում և ստամոքսի ցավեր):
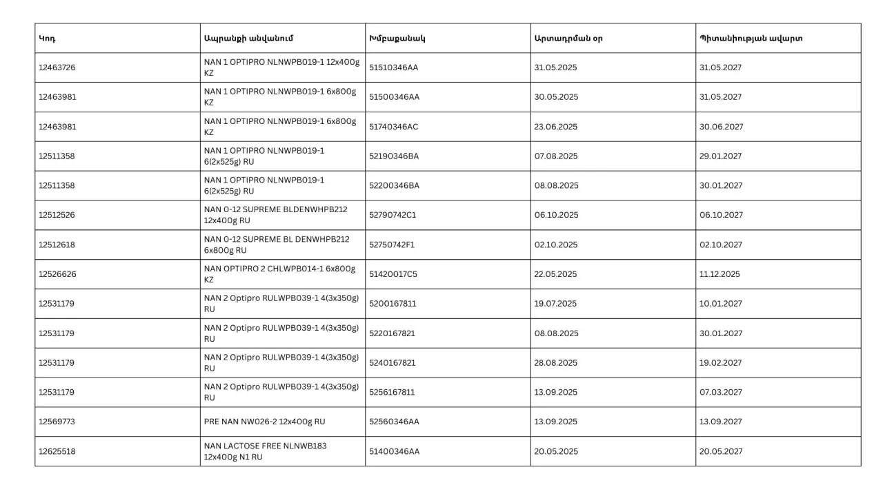
Սննդամթերքի անվտանգության տեսչական մարմնի պահանջով՝ NAN ապրանքանիշի նշված խմբաքանակները Հայաստանի Հանրապետություն ներմուծող ընկերություններն անմիջապես սկսել են հետկանչի՝ վաճառքի կետերից հավաքելու գործընթացը:
«Թեև այս արտադրանքի հետ կապված հիվանդության հաստատված դեպքեր չեն արձանագրվել, սակայն հետկանչը կատարվում է նախազգուշական նպատակով։
Եթե իրացման ցանցում կտեսնեք տուփեր NAN ապրանքանիշի նշված խմբաքանակներից՝ հորդորում ենք չգնել դրանք և անմիջապես տեղեկացնել Տեսչական մարմնի թեժ գծի հեռախոսահամարով՝ 118. այն շուրջօրյա է և անվճար»,- հայտնում են ՍԱՏՄ-ից:
